☕️ DISTRACTIONS ☙ Saturday, June 17, 2023 ☙ C&C NEWS 🦠
Study: bivalent jab takers more likely to catch covid; more UFO distractions; Obama judge favors inclusion over Constitution; distracting covid origins disclosures imminent; DOE hack; more.
Good morning, C&C, it’s Saturday! Your Weekend Edition roundup includes: new Cleveland Clinic pre-print publishes bad news for the jabs; another distracting UFO whistleblower story breaks; Obama judge holds inclusion trumps free speech; media starts getting ready for distracting weekend covid origins disclosures; Department of Energy hacked; uplifting human-saves-animal clip.
🗞💬 *WORLD NEWS AND COMMENTARY* 💬🗞
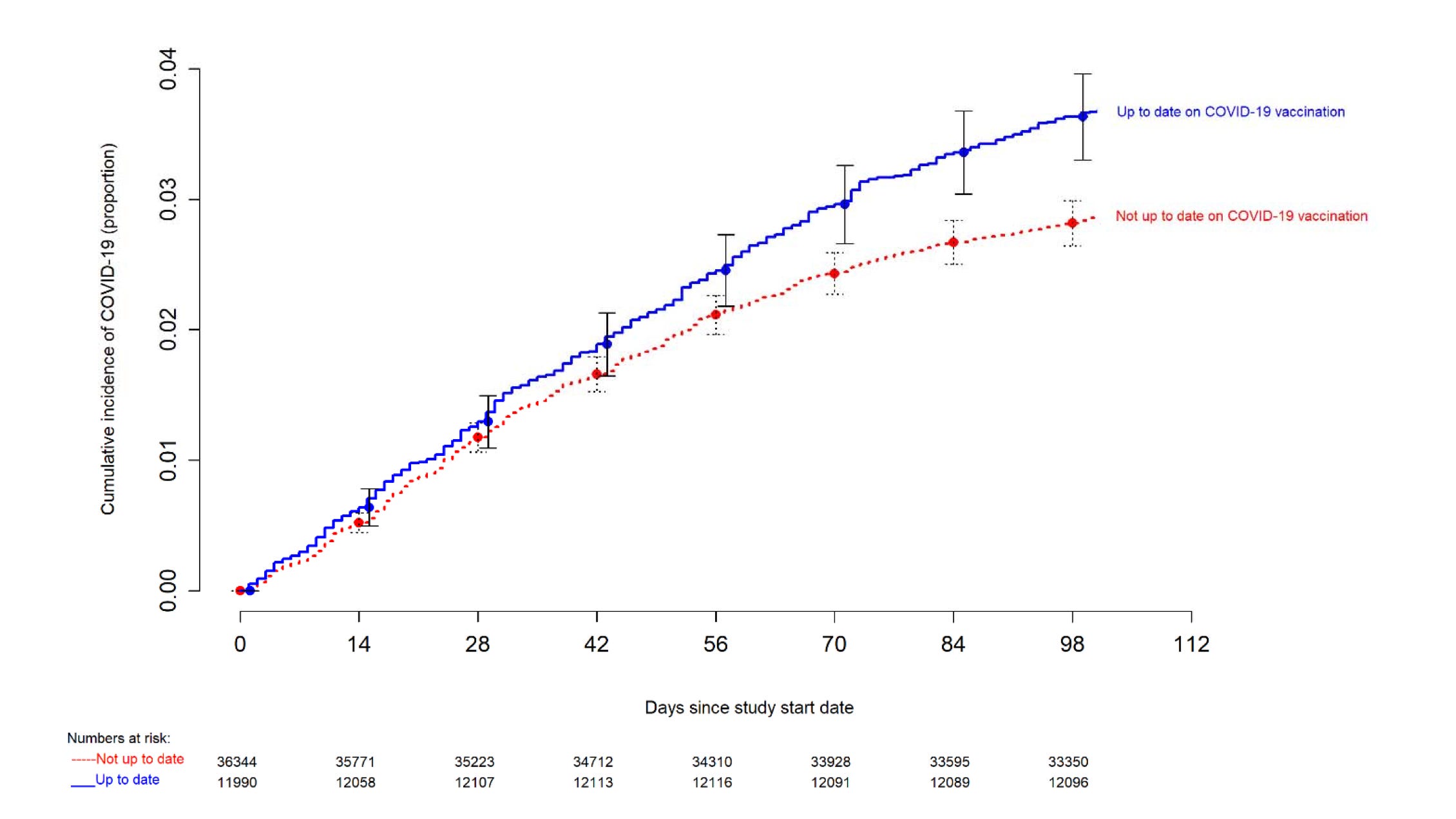
🔥 A new Cleveland Clinic preprint study published this week, titled “Risk of Coronavirus Disease 2019 (COVID-19) among Those Up-to-Date and Not Up-to-Date on COVID-19 Vaccination.”
That title seems oddly-worded, but according to the study, the CDC defines people as being “up to date” on their vaccines if they have had at least one dose of the new “bivalent” vaccines, which are the ones the so-called “health agency” has been pushing lately. These are the new and improved jabs including both the original Wuhan-style spike protein as well as the new Omicron flavor.
It’s double the fun. Two spikes in one! And it’s worth every penny you pay for it, too.
Anyway, the hardworking Cleveland Clinic researchers, bless them, looked at 50,000 of the hospital systems’ own employees and compared bivalent jab uptake with covid positive status. Here’s what they found:
Among 48,344 working-aged Cleveland Clinic employees, those not “up-to-date” on COVID-19 vaccination had a lower risk of COVID-19 than those “up-to-date”.
Huh. To be clear: People who take the bivalent shot get MORE covid.
Bwahahaha! It would be tragic if it weren’t so hilarious. The media convinced a lot of gullible people the worst thing that could ever happen to them was catching covid. And now, their magic shots appear to actually INCREASE the chances they will catch the dreaded disease.
I can hear the desperate rejoinder already. “But, but, but,” they’ll stammer, “the bivalent shot decreases risk of hospitalization and death!” Well, maybe, maybe not. Opinions on that vary. But either way, the person who DOESN’T GET COVID has the LOWEST risk of serious illness and hospitalization, since they never encounter the risks to start with.
In other words, even if it’s a lower relative risk, by getting covid more often, the boosted have INFINITELY higher risk of serious illness and death than the unboosted who don’t catch the virus in the first place.
Not to mention what the phenomenon suggests might be going on in boosted people’s immune systems.
There’s another point. The Bivalent shot works backwards. It’s almost like the shot was never designed to prevent covid in the first place.
So.
🔥 Yesterday, federal judge Indira Talwani, an Obama appointee, issued an controversial ruling in the student-free-speech case of “L.M. v. Town of Middleborough.”
Federal Judge Indira Talwani
In denying the student’s motion for a preliminary injunction, the judge found that a Middleborough, Massachusetts high school was likely within its rights to forbid the student from wearing a t-shirt saying “There Are Only Two Genders.”
Just Talwani consumed 17 pages to explain her ruling. The first six pages or so were a detailed, microscopic recitation of the entire incident, from start to finish, who said what to whom, who walked up which hallway, who was at the meeting, and so forth. It is not clear why any of those details were necessary, except that they showed the student was at all times clear in assertion of his rights, respectful, and non-confrontational.
Sounds like there was some good parenting somewhere in there.
It was clear which way things were going from the beginning of the order, which began by citing an affidavit from a school administrator that swore she knew several LGBTQ+ students who either attempted suicide or had suicidal thoughts. The judge did not consider whether any suicidal thoughts could be caused by banal t-shirt messages, or whether there might be a different underlying cause of both suicidal feelings as well as sexual confusion.
That reasoning is not logic. It’s the classic, emotionally manipulative false dichotomy: “Would you rather have a live son or a dead daughter?”
Ultimately the judge decided that the limited infringement of the student’s free speech rights at school — she mentioned his unlimited social media rights outside school — was justified or outweighed by the benefits to protecting delicate LGBTQ+ students’ minds from encountering any type of information that challenged their fragile world view.
In other words, the judge did NOT say L.M. was altogether forbidden from saying “there are only two genders”; he just can’t say it at school because inclusion. In fairness, minor students only enjoy LIMITED constitutional rights. Schools act in loco parentis — they wield custodial parental rights — and parents obviously have right to squelch kids’ speech anytime they want, for any reason, and kids can’t complain to the courts. This dynamic was often painfully obvious on many a Childers family road trip.
All the same, the decision is bad precedent, because “inclusion” trumped the Constitution. Inclusion wasn’t even a thing more than ten minutes ago.
The courts saved us from the pandemic. Now, we have to save the courts — from wokeness. It’s going to be a long, difficult fight, so buckle up.
Finally, I have a suggestion for L.M., or for any other industrious, freedom-loving Nichols High School student who would like to further pressure the grievance system. Try this: wear to school a t-shirt with the following Bible verse printed on it:
So God created man in his own image,
in the image of God he created him;
male and female he created them. — Gen. 1:27.
You could underline the words “male and female he created them,” or even paint them in rainbow colors or something. In other words, in a new lawsuit, force the judge to reason her way around BOTH the free speech right AND the right of religious liberty, and in doing so, be required to find that the first words of the Bible — one of this country’s foundational documents — are “hate speech.”
Hint: the Bible is not hate speech. As they say, God IS love.
👽 Just when you think we’ve been totally saturated with flying saucer news, here comes another one! The Daily Mail UK ran a story yesterday with the rambling headline, “EXCLUSIVE: Marine Vet Breaks 14-Year Silence To Make Astonishing Claim That His Six-Man Unit Saw A Hovering Octagonal UFO Being Loaded With Weapons By Unmarked U.S. Forces Who Threatened Them At Gunpoint While Serving In Indonesia In 2009.”
First let’s pause briefly for a moment to note that this story partly fits the fake news profile. It’s controversial or inflammatory, based on something that happened in the past (not news), and arises from a new disclosure or revelation susceptible to easy timing. On the other hand, the account comes from an identified witness, not sketchy anonymous sources.
Last year’s National Defense Authorization Act included a new clause allowing whistleblowers to report previously undisclosed UFO ‘material retrieval, material analysis, [and] reverse engineering’ programs to the Pentagon’s AARO team, ensuring they won’t be prosecuted for violating security oaths or non-disclosure agreements.
The Act seemed tailor-designed for Michael Herrera, who after 14 years of silence, said he was reassured by the new federal UFO whistleblower protections, and in April he testified under oath to the government’s UFO investigation team, the All-domain Anomaly Resolution Office (AARO), as well as to a classified Senate committee.
What he told them was in 2009, Herrera was serving on a Naval humanitarian mission in Sumatra following a devastating tsunami. While guarding an airdrop of aid supplies outside the city of Padang, his six-man unit stumbled across a hovering, octagonally-shaped craft, surrounded by a large group of clandestine, unmarked U.S. military forces who immediately captured the marines.
He (or someone) drew a picture of the recollected scene:
Herrera explained “The craft was rotating in a clockwise motion while changing colors. It had an audible hum to it, like the sound of a transformer or a guitar amp. It was an octagonal shape with a pyramid at the top of it that was black.”
The clandestine soldiers, dressed in all-black uniforms, threatened Herrera’s unit, took their weapons, dumped their ammunition. and scanned their military IDs. Herrera said he saw other troops loading ‘large weapons cases’ and other containers from militarized Ford F350 trucks onto a platform beneath the craft.
“When the last two trucks finished unloading and drove off, the lower part of the platform rose off the ground to about 10 feet and the craft lowered to meet it and it came together into one piece,” Herrera explained. “On the corners of the craft, it had lights that were changing between blue, red, yellow and green.” Then, “it rose off the ground and a little past the trees, then shot off to our left towards the ocean at around 4,000 mph.”
The decorated marine, who has an unblemished four-year service record, claimed that a few weeks later, an Air Force lieutenant colonel required him to sign a top-secret NDA form and told him, “You’re not allowed to talk about what happened. You will go to prison, or you will die.”
The Mail noted that in February, another unidentified object over Lake Huron, Michigan was shot down by F-16 fighter jets on their second try – their first missile missed – was described as ‘octagonal’ by Congress members who were briefed on the incident.
Was it friendly fire?
If you are interested in this sort of thing, here’s the clip of Herrera telling his story.
To be clear, there aren’t any aliens in this story. This is a so-called “reverse-engineering” story. The implication is that, consistent with last month’s whistleblower testimony, there are rogue U.S. military or intelligence agency black ops using advanced, reverse-engineered technologies that even the President and Congress don’t know about.
While I respect others’ opinions, I personally do not believe in aliens. I do think these stories are significant, because obviously SOMETHING is happening to produce this sudden disclosure of UFO claims and highly-public government interest.
I — and others — are deeply suspicious the UFO issue is shaping up to be the new global emergency.
Finally, in highly-coincidental and helpful timing for the Biden Administration, this remarkable, developing UFO story is another huge distraction from the Biden Bribery case.
🔥 The UK Telegraph ran a story yesterday headlined, “Three Things To Watch As Us Intelligence Prepares For Covid ‘Lab Leak’ Reveal.”
According to Josh Hawley’s Senate Bill 619, titled the “COVID-19 Origin Act of 2023,” which passed both houses on March 20th and was signed by Joe Biden at the last possible moment, the U.S. government had 90 days to declassify all information related to covid origins and the Wuhan lab. Ninety days ends tomorrow, Sunday, June 18th.
There’s much wild speculation about what could be revealed in the new disclosures. Will they implicate China’s military, creating a crisis?
Others suggest the new information will prove, once and for all, that the virus came from the Wuhan wet market and not the coronavirus research lab located less than a mile away. But that seems pretty unlikely, because … well, why would they keep natural origins a secret?
Furthermore, the Sunday Times’ big expose story last week paved the way for it to be a Chinese lab leak incident. As I reported, the Sunday Times received a bunch of sketchy new documents, and said anonymously-sourced U.S. intelligence officials believed the lab engaged in “secret projects … on behalf of the Chinese military since at least 2017.”
So who knows. It’s one day; I’m not even going to guess.
Either way, this story will be yet another huge distraction from the Biden Bribery case.
🔥 This week, federal government agencies were hit with what CBS called “the largest theft and extortion event in history.” According to corporate media reports, Russian hackers conducted a wide-ranging attack on federal and state agencies, and private businesses.
https://twitter.com/ChuckCallesto/status/1669552188383739904
The most eye-opening bit was that, according to a report on the story in CNN Business, the Department of Energy was the only affected federal agency. That’s the department most likely to be attacked by enemies trying to create mischief.
The hack allegedly relates to a single piece of software commonly used to transmit encrypted files. You could imagine a lot of problems if those files were secure and high-level agencies were relying on that encryption. But there’s so much fog around the story that it’s impossible to say what happened or evaluate the risks.
Despite its “historical” nature and media-friendly alarmist character, for some reason, this story was ignored by top-tier corporate print media like the Wall Street Journal or the New York Times.
💖 Finally, to get your weekend started right, we’ll switch things around from the usual animal-saves-person story. Enjoy this clip of a human saving an animal, for a change:
https://twitter.com/UpliftingVids/status/1669344406967828480
Have a wonderful weekend! C&C will be back on Monday morning with more Coffee & Covid.
It’s not accidental. Moving the nation’s needle and changing minds takes effort. I could use your support getting the truth out and spreading optimism and hope. Please consider joining C&C to help. https://www.coffeeandcovid.com/p/-learn-how-to-get-involved-
Twitter: jchilders98.
Truth Social: jchilders98.
MeWe: mewe.com/i/coffee_and_covid.
Telegram: t.me/coffeecovidnews
C&C Swag! www.shopcoffeeandcovid.com
Emailed Daily Newsletter: https://www.coffeeandcovid.com









What if I said that my kids are more likely to commit suicide due to the stress of being afraid that they’re going to “misgender” someone and get ostracized for doing that? At what point will they try to address my child’s risk of suicide????
As soon as Tucker spoke on his show about the first of many UFO sightings, I told my husband “THIS is going to be ‘the thing’ that helps the cause for the world to band together and create the ‘New World Order’ to stop these UFOs. He thought I was on to something because the jabs and C plandemic weren’t doing it.
I think we all need to be aware how this could overtake the rest of the world with more psyop fear.